

Гофрированные картриджи для фильтров высокого расхода серии HFA - это превосходная замена картриджных фильтров высокого расхода, высококачественные гофрированные картриджи производства Hongtek. Внешний диаметр обычно составляет 6 дюймов (152 мм). Фильтры высокого расхода могут быть выполнены без сердцевины или с внутренним центральным сердечником с внешней жесткой обоймой, с одним открытым концом, другой конец которого закрыт торцевой крышкой с уплотнительным кольцом.
Схема течения жидкости в фильтрующем картридже высокого расхода - изнутри наружу. Геометрическая конструкция полипропиленовых гофрированных фильтрующих картриджей с высоким расходом воды большого диаметра увеличивает площадь поверхностной фильтрации, повышает грязеудерживающую способность, что позволяет экономить количество фильтрующих картриджей и повышать скорость потока, когда эффективность фильтрации превышает 99%. Гофрированные картриджи с высоким расходом обладают широким спектром химической совместимости и областей применения, что делает их идеальным вариантом для промышленной системы фильтрации воды с высоким расходом для защиты мембраны RO.
| Фильтрующий материал | Полипропиленовый(PP) Гофрированный |
| Длина | 20"(508 мм),40"(1016 мм), 60"(1524 мм) |
| Наружный диаметр | 6 дюймов (152 мм) |
| Внутренний диаметр | 73,5 мм |
| Степень фильтрации | 1 мкм, 2 мкм, 3 мкм, 5 мкм, 10 мкм, 20 мкм, 40 мкм, 70 мкм, 100 мкм |
| Опора/дренаж | Полипропилен(PP) |
| Материал торцевой крышки | Полипропилен, армированный стекловолокном(PP) |
| Внешний | Жесткий каркас из нержавеющей стали (специальный) |
| Материал уплотнения | EPDM, Buna-N, Viton |
● Градиентная структура пор гофрированных фильтров с высокой пропускной способностью обеспечивает многоуровневую фильтрацию
● Внешний жесткий каркас может выдерживать более высокое давление, чем фильтры с высокой пропускной способностью, изготовленные из мягкой сетки
● Объем системы фильтрации может быть уменьшен до 50%, что снизит затраты на техническое обслуживание
● Максимальный расход гофрированных картриджей high flow достигает 110 м3/ч при номинальной производительности Beta 5000 (КПД 99,98%)
● Система фильтрации high flow обеспечивает фильтрацию внутри и снаружи, что позволяет удерживать все загрязнения внутри гофрированного материала
● Гофрированные картриджи с высокой пропускной способностью более экономичны благодаря высокой эффективности фильтрации и более низким затратам на утилизацию отходов
● Материалы соответствуют требованиям FDA благодаря широкой химической совместимости, отсутствию смол, связующих или адгезивов и 100% проверке целостности.
● Краски и покрытия
● Микроэлектроника, пленки и смолы
● Водоподготовка в энергетике
● Предварительная фильтрация RO и опреснение морской воды
● Растворители, API и фильтрация воды в биотехнологиях
● Бутилированная вода, продукты с высоким содержанием фруктозы, пищевые масла, безалкогольные напитки и молоко
Эксплуатационные характеристики гофрированных фильтрующих картриджей серии HFA с высокой пропускной способностью
| Максимальная рабочая температура | 180°F @ 20 psid (82°C @ 1.4 bar) & |
| 160°F при 30 фунтах на квадратный дюйм (71°C при 2,1 бар) | |
| 77°F при 50 фунтов на Квадратный Дюйм (25°C при 3,4 бар) | |
| Рекомендуемый Максимальный Расход Воды | длина 20 дюймов: 660 об/мин |
| длина 40 дюймов: 1300 об/мин | |
| длина 60 дюймов: 1900 об/мин | |
| Направление потока жидкости | От внутреннего к внешнему |
| Типичная площадь поверхности; | 3.5㎡ per 20" filter cartridge |
| 7㎡ за картридж с фильтром "40" | |
| 10,5㎡за картридж с фильтром "60" | |
| Рекомендуется Снизить Перепад давления | на 2,5 Бар при 20 ℃ |
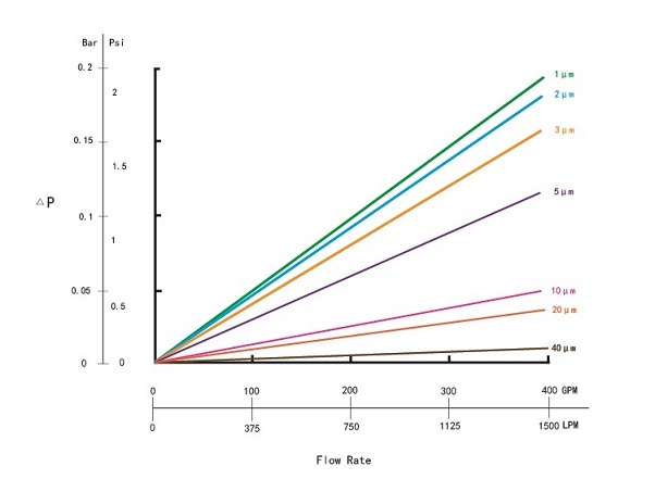
Коэффициент снижения давления для 40 Гофрированных фильтрующих картриджей серии HFA с высоким расходом

Дизайн фильтрующих картриджей с высокой пропускной способностью

● Мощная техническая команда поможет настроить специальные гофрированные фильтры с высокой пропускной способностью
● Высококачественный трехмерный дизайн демонстрирует преимущества замены фильтров с высокой пропускной способностью structure Pall Ultipleat
● Полный дизайн очень важен для исследований, разработки и производства гофрированных картриджей с высокой пропускной способностью.
● Уделяйте большое внимание каждой детали, совершенствуйте дизайн, чтобы обеспечить более высокое качество фильтрующих картриджей с высоким расходом для систем фильтрации воды
Установка гофрированных фильтрующих картриджей с высоким расходом

● Фильтрующие картриджи с высоким расходом имеют схему потока внутри и снаружи, без байпаса и длительный срок службы
● Подходит для установки вертикальных или горизонтальных корпусов фильтров из нержавеющей стали и пластиковых корпусов фильтров
● Внешний жесткий каркас обеспечивает стабильную конструкцию и 100% целостность, при необходимости можно добавить внутренний сердечник
● Высокая скорость потока и низкое перепадное давление, номинальные или абсолютные фильтры разработаны в соответствии с требованиями
● Меньшие габариты и более экономичные системы фильтрации воды, более низкие затраты на техническое обслуживание и утилизацию отходов
● Простота установки и замены, экономия рабочей силы и затрат на техническое обслуживание, подходит для корпусов фильтров международного стандарта.
| HFA (высокая плотность) | Материал | Длина | Характеристики фильтрации |
Материал уплотнительного кольца
|
Внутренний (селективный) |
|
Серия HFA; Гофрированные картриджи с высоким расходом; Фильтрующие элементы |
P = PP Гофрированные | 20="20" (508 мм) | 1="1 мкм" | E="EPDM" | C="Центральная" сердцевина из полипропилена |
| 2 = 2 мкм | |||||
| 3 = | |||||
| 3 мкм 40"="40" (1016 мм) | 5 = 5 мкм | B = Buna-N | |||
| 10 = 10 мкм | |||||
| 20 = 20 мкм | |||||
| 60 = 60 (1524 мм) | 40 = 40 | мкм V = Viton | |||
| 50 = 50 мкм | |||||
| 70 = 70 мкм | |||||
| 100 = 100 мкм |
например:
HFA-P-40-5- E
Гофрированные фильтрующие картриджи с высокой пропускной способностью серии HFA - Материал: полипропилен - Длина = 40 мм - Степень фильтрации = 5 мкм - Материал уплотнительного кольца = EPDM
Специальные характеристики гофрированные картриджи с высокой пропускной способностью могут быть изготовлены по индивидуальному заказу, например, центральная полипропиленовая сердцевина, специальные торцевые крышки или наружный каркас из нержавеющей стали и т.д.