

Полиэфирные гофрированные фильтрующие картриджи Hongtek серии PET изготавливаются из гофрированного полиэфирного фильтрующего материала (ПЭТ) с центральным сердечником и высококачественной торцевой крышкой. Полиэфирные гофрированные фильтрующие картриджи отличаются низким перепадом давления и высокой пропускной способностью. ПЭТ-гофрированные картриджи производятся из 100% синтетических волокон, которые не содержат связующих веществ или адгезивов, что обеспечивает высокую эффективность удержания. Более того, их можно легко стирать и использовать повторно.
Гофрированные фильтрующие картриджи из полиэстера также называют сменными фильтрами для воды. Гофрированная конструкция увеличивает площадь поверхности и продлевает срок службы, что делает гофрированные картриджи из ПЭТ-пластика одним из самых экономичных вариантов очистки воды.
| Фильтрующий материал | Полиэстер (ПЭТ) |
| Длина | 5","9,75","9,8", "10","20","30","40"; |
| Наружный диаметр | 2,68"(68 мм) |
| Внутренний диаметр | 1,1"(28 мм) |
| Степень фильтрации | 1 мкм, 5 мкм, 10 мкм, 20 мкм, 30 мкм, 50 мкм, 100 мкм |
| Ядро | Полипропилен |
| Наружная сетка | Полипропилен |
| Торцевые крышки/прокладки | Пластизоль/полиуретан |
| Тип торцевой крышки | Двойной открытый конец (DOE) |
● Превосходная совместимость с широким спектром химикатов и дезинфицирующих средств
● Их можно менять реже, их легко мыть и использовать повторно, а также они требуют меньшего технического обслуживания
● Доступны в различных вариантах длины для удовлетворения различных требований к оборудованию
● Торцевые крышки/ прокладки из пластизоля (ПВХ) обеспечивают надежное уплотнение, большую площадь фильтрации и высокую скорость потока
● Наружная полипропиленовая сетка повышает устойчивость к давлению, продлевая срок службы гофрированных картриджей из ПЭТ
| PCW | До RO/DI | Электроника |
| Питьевая вода | Охлаждающая вода | Продукты питания и напитки |
| Фармацевтические препараты | Промышленная вода и покрытие | Химические вещества & Органические растворители |
Эксплуатационные характеристики фильтрующих картриджей с гофрированным покрытием из полиэстера
| Максимальная рабочая температура | 75℃(167℉) |
| Максимальный перепад давления | 4,8 бар при 20℃ (70 фунтов на квадратный дюйм при 68℉) |
| 3,4 бар при 50℃ (50 фунтов на квадратный дюйм при 122℉) | |
| Максимальное обратное давление | 40 фунтов на квадратный дюйм при 70°F (2,8 бар при 21°C) |
| Рекомендуемая Замена перепада давления | 2,4 бар (35 фунтов на квадратный дюйм) |
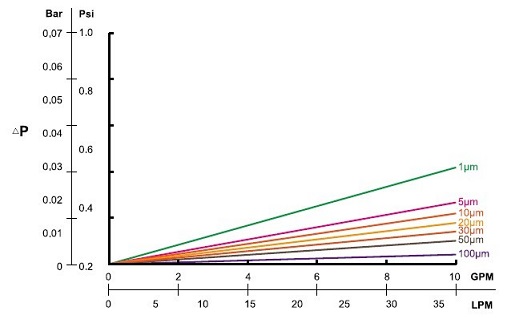
Коэффициент снижения давления для 10 Фильтрующих картриджей из полиэфирного гофрированного материала


● Торцевая крышка Hongtek изготовлена из высококачественного полиуретана, гладкая поверхность хороша для герметизации, в то время как другие изготовлены из некачественного клея и шероховатой
● Плиссированные фильтры Hongtek PET - это плотные плиссированные фильтры с большей площадью фильтрации, в то время как другие представляют собой разреженные плиссированные фильтры с меньшей площадью поверхности
● Количество складок в гофрированных картриджах Hongtek из полиэстера равно или превышает 50, если количество складок низкого качества составляет менее 50
● Плиссированные картриджи Hongtek PET имеют усовершенствованную внешнюю сетку для усиления всей конструкции, в то время как другие картриджи не имеют хорошей аккуратной внешней сетки
| домашнее животное | Длина | Рейтинг в микронах | Внешний |
|
Серия ПЭТ; Фильтрующие картриджи с плиссировкой из полиэстера |
5 = 5"; | 1 = 1 мкм | W=С полипропиленовой сеткой |
| 9,75 = 9,75"; | 5 = 5 мкм | ||
| 9,8 = 9,8"; | 10 = 10 мкм | ||
| 10 = 10"; | 20 = 20 мкм | ||
| 20 = 20"; | 30 = 30 мкм | Без сетки | |
| 30 = 30" | 40=40 мкм 40= | ||
| 40"; | 50=50 мкм | ||
| 100= 100 мкм |
например:
ПЭТ-10-5- W
Гофрированные фильтрующие картриджи из полиэстера серии ПЭТ - 10" -5 мкм - С полипропиленовой сеткой